Nutzen und Schaden der Einsteinschen ART und SRT

Hier wird die Relativitätstheorie Einsteins kritisiert oder verteidigt

Re: Nutzen und Schaden der Einsteinschen ART und SRT

Beitragvon Frau Holle » Sa 18. Jan 2025, 16:35

Kurt hat geschrieben:
Frau Holle hat geschrieben:
Kurt hat geschrieben:Kapierst du denn nicht, dass es sich bei dem was du zitierst nicht um eine Gleichung handelt, sondern um allgemeine Aussagen und Feststellungen?

Kapierst du denn nicht, dass deine "Aussagen und Feststellungen" dem allgemeingültigen Gesetz v=s/t widersprechen, und deshalb falsch sind?

Na dann erkläre mal wo meine Aussagen und Feststellungen dem allgemeingültigen Gesetz v=s/t widersprechen?

Ganz konkret geht es um diese Aussagen von dir:
Kurt hier https://www.mahag.com/neufor/viewtopic.php?f=6&t=1008&start=2110#p220416 hat geschrieben:
Die Strecke ist 100 km lang
Der Zug ist mit 100 km/h unterwegs
Die Zuguhr zeigt 1/2 Std an.

Es gibt in der richtigen Berechnung keine zweite Geschwindigkeit

Die richtige Berechnung erfüllt das Gesetz v=s/t immer.
Eine richtige Rechnung wäre 200 km/h = 100 km/0,5 h, oder auch 100 km/h = 50 km / 0,5 h.
Und 200 km/h z.B. wäre ja wohl eine zweite Geschwindigkeit. Die erste war 100 km/h.
Und 50 km wäre ja wohl eine andere Weglänge. Die erste war 100 km.

Mit deinen Angaben zum Zug lautet die Rechnung v=s/t aber: 100 km/h = 100 km/0,5 h :o, und das ist falsch!
Deine Aussagen widersprechen hier dem Gesetz v=s/t. Sie verstoßen dagegen, Weil etwas falsches rauskommt. Ganz eindeutig!

Du bist widerlegt! Was willst du daran nicht verstehen?
 
Zuletzt geändert von Frau Holle am Sa 18. Jan 2025, 17:05, insgesamt 1-mal geändert.
Frau Holle
 
Beiträge: 4421
Registriert: Sa 26. Nov 2022, 13:58

Re: Nutzen und Schaden der Einsteinschen ART und SRT

Beitragvon Kurt » Sa 18. Jan 2025, 16:48

Frau Holle hat geschrieben:
Kurt hat geschrieben:Kapierst du denn nicht, dass es sich bei dem was du zitierst nicht um eine Gleichung handelt, sondern um allgemeine Aussagen und Feststellungen?

Kapierst du denn nicht, dass deine "Aussagen und Feststellungen" dem allgemeingültigen Gesetz v=s/t widersprechen, und deshalb falsch sind?

Kurt hat geschrieben:Na dann erkläre mal wo meine Aussagen und Feststellungen dem allgemeingültigen Gesetz v=s/t widersprechen?

Frau Holle hat geschrieben:Ganz konkret geht es um diese Aussagen von dir:
Kurt hier https://www.mahag.com/neufor/viewtopic.php?f=6&t=1008&start=2110#p220416 hat geschrieben:
Die Strecke ist 100 km lang
Der Zug ist mit 100 km/h unterwegs
Die Zuguhr zeigt 1/2 Std an.

Es gibt in der richtigen Berechnung keine zweite Geschwindigkeit

Die richtige Berechnung erfüllt das Gesetz v=s/t immer.
 


Natürlich, das macht meine Berechnung.
Du hast eine aufgestellt die das nicht macht.

Meiner Aufforderung: "Na dann erkläre mal wo meine Aussagen und Feststellungen dem allgemeingültigen Gesetz v=s/t widersprechen?"
kannst du wohl nicht nachkommen.


Kurt

.
Kurt
 
Beiträge: 21784
Registriert: Sa 7. Nov 2009, 14:07
Wohnort: Bayern

Re: Nutzen und Schaden der Einsteinschen ART und SRT

Beitragvon Skeptiker » Sa 18. Jan 2025, 17:40

Kurt hat geschrieben:Na dann erkläre mal wo meine Aussagen und Feststellungen dem allgemeingültigen Gesetz v=s/t widersprechen?
.

Du behauptest der Zug fährt 100km mit 100km/h und braucht dafür 0,5 Stunden. Das sieht jeder 4. Klässler das dies falsch sein muss. Der Zug wird dafür eine Stunde brauchen und darum wird auch die Uhr im Zug eine Stunde anzeigen. Denn t=s/v
s=100km, v=100km/h
Bleibt 1h übrig. Und das zeigt die Uhr an.
Skeptiker
 
Beiträge: 3565
Registriert: Sa 8. Jun 2024, 11:01

Re: Nutzen und Schaden der Einsteinschen ART und SRT

Beitragvon Kurt » Sa 18. Jan 2025, 18:07

Skeptiker hat geschrieben:
Kurt hat geschrieben:Na dann erkläre mal wo meine Aussagen und Feststellungen dem allgemeingültigen Gesetz v=s/t widersprechen?
.

Du behauptest der Zug fährt 100km mit 100km/h und braucht dafür 0,5 Stunden.

Wo habe ich das behauptet?

Kurt

.
Kurt
 
Beiträge: 21784
Registriert: Sa 7. Nov 2009, 14:07
Wohnort: Bayern

Re: Nutzen und Schaden der Einsteinschen ART und SRT

Beitragvon Skeptiker » Sa 18. Jan 2025, 18:59

Kurt hat geschrieben:Wo habe ich das behauptet?

.

Hier :
Kurt hat geschrieben:s und v sind fix

s ist die Streckenlänge von 100 km
v ist die Zuggeschwindigkeit von 100 km/h

die Uhr im Zug, zeigt eine halbe Stunde an.

100km mit 100km/h in 0,5h. Und das geht halt nicht.
Skeptiker
 
Beiträge: 3565
Registriert: Sa 8. Jun 2024, 11:01

Re: Nutzen und Schaden der Einsteinschen ART und SRT

Beitragvon Frau Holle » So 19. Jan 2025, 14:31

Skeptiker hat geschrieben:
Kurt hat geschrieben:Wo habe ich das behauptet?

.

Hier :
Kurt hat geschrieben:s und v sind fix

s ist die Streckenlänge von 100 km
v ist die Zuggeschwindigkeit von 100 km/h

die Uhr im Zug, zeigt eine halbe Stunde an.

100km mit 100km/h in 0,5h. Und das geht halt nicht.

Eigentlich müsste Kurt doch jetzt fragen warum das nicht geht.
Man hat es ihm ja erst seit Jahren erklärt.
Kann ja wohl nicht sein, dass es schon verstanden hat.
Den Tag für's Verständnis hat er doch fix auf St. Nimmerlein festgelegt.

Warum er jetzt schwächelt und schweigt ist klar: Er wartet ab, bis der Faden weitergelaufen ist und seine Blöße unter anderen Posts in der Versenkung verschwunden ist. Ich mache hier mal den Anfang.

Später kann er sich dann nicht mehr daran erinnern, dass er hier erneut widerlegt wurde. Das liegt vermutlich an seinem hohen Alter. Der Vorname Kurt wird seit ca. 90 Jahren nicht mehr vergeben, außer in einem abgelegenen Alpental vielleicht, wo man im Wirtshaus das Relativitätsprinzip einfach per Handzeichen außer Kraft setzt, falls man überhaupt davon gehört hat. Andere Länder, andere Sitten. *SCNR*
 
Frau Holle
 
Beiträge: 4421
Registriert: Sa 26. Nov 2022, 13:58

Re: Nutzen und Schaden der Einsteinschen ART und SRT

Beitragvon Lagrange » So 19. Jan 2025, 14:54

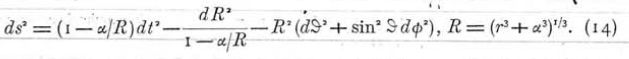
In seiner Arbeit "Über das Gravitationsfeld eines Massenpunktes nach der Einsteinschen Theorie" hat Schwarzschild Gleichungen manipuliert um Einstein zu bestätigen. (15) erhält man aus (14) wenn man (14) mit teilt. Damit erhält man auf der rechten Seite von (15) "1" und nicht "h" wie Schwarzschild das haben will. So erhält man eine ganz andere Gleichung, die untauglich ist, Periheldrehung zu berechnen.

sch1.jpg
sch1.jpg (6.87 KiB) 3238-mal betrachtet


sch2.jpg
sch2.jpg (9.58 KiB) 3226-mal betrachtet
Lagrange
 
Beiträge: 17794
Registriert: Mi 11. Feb 2009, 23:13

Re: Nutzen und Schaden der Einsteinschen ART und SRT

Beitragvon Skeptiker » So 19. Jan 2025, 15:29

Lagrange hat geschrieben:In seiner Arbeit "Über das Gravitationsfeld eines Massenpunktes nach der Einsteinschen Theorie" hat Schwarzschild Gleichungen manipuliert um Einstein zu bestätigen.

Hilf Kurt lieber seine 0,5h auszurechnen.
Skeptiker
 
Beiträge: 3565
Registriert: Sa 8. Jun 2024, 11:01

Re: Nutzen und Schaden der Einsteinschen ART und SRT

Beitragvon Kurt » Mo 20. Jan 2025, 10:42

Frau Holle hat geschrieben:
Skeptiker hat geschrieben:
Kurt hat geschrieben:Wo habe ich das behauptet?

.

Hier :
Kurt hat geschrieben:s und v sind fix

s ist die Streckenlänge von 100 km
v ist die Zuggeschwindigkeit von 100 km/h

die Uhr im Zug, zeigt eine halbe Stunde an.

100km mit 100km/h in 0,5h. Und das geht halt nicht.

Eigentlich müsste Kurt doch jetzt fragen warum das nicht geht.
Man hat es ihm ja erst seit Jahren erklärt.
Kann ja wohl nicht sein, dass es schon verstanden hat.
Den Tag für's Verständnis hat er doch fix auf St. Nimmerlein festgelegt.

Warum er jetzt schwächelt und schweigt ist klar: Er wartet ab, bis der Faden weitergelaufen ist und seine Blöße unter anderen Posts in der Versenkung verschwunden ist. Ich mache hier mal den Anfang.

Später kann er sich dann nicht mehr daran erinnern, dass er hier erneut widerlegt wurde. Das liegt vermutlich an seinem hohen Alter. Der Vorname Kurt wird seit ca. 90 Jahren nicht mehr vergeben, außer in einem abgelegenen Alpental vielleicht, wo man im Wirtshaus das Relativitätsprinzip einfach per Handzeichen außer Kraft setzt, falls man überhaupt davon gehört hat. Andere Länder, andere Sitten. *SCNR*
 

Was denn, noch im Wundenleckmodus?

Du bist wiedermal grandios gescheitert und willst es immer noch nicht wahrhaben.
Hier der Link aus dem ihr, aus dem Zusammenhang gerissene Aufzählungen, so verzweifelt verwendet um mir Aussagen unterschieben zu wollen die ich nie gemacht habe.
Es zeigt eure fehlende Ehrlichkeit, Verzweiflung und Hilflosigkeit auf.

Kurt

.

Vergessen?
-------------
Jaja, deins ist zusammengebrochen, du kannst nämlich nicht erklären wie die halbe Stunde zustande gekommen sein könnte und suchst nach Auswegen.
Es ist sonnenklar, die Uhr im Zug taktete langsamer weil sie bewegt war.
--------

.
Kurt
 
Beiträge: 21784
Registriert: Sa 7. Nov 2009, 14:07
Wohnort: Bayern

Re: Nutzen und Schaden der Einsteinschen ART und SRT

Beitragvon Skeptiker » Mo 20. Jan 2025, 11:13

Kurt hat geschrieben:Jaja, deins ist zusammengebrochen, du kannst nämlich nicht erklären wie die halbe Stunde zustande gekommen sein könnte und suchst nach Auswegen.

Die halbe Stunde kann nachweislich nicht Zustandekommen, wie du sagst. Mathematik lügt halt nicht.
Skeptiker
 
Beiträge: 3565
Registriert: Sa 8. Jun 2024, 11:01

VorherigeNächste

Zurück zu Relativitätstheorie

Wer ist online?

Mitglieder in diesem Forum: 0 Mitglieder und 19 Gäste

cron