Die Zeitdilatation - längst belegt von Kritikern geleugnet

Hier wird die Relativitätstheorie Einsteins kritisiert oder verteidigt

Re: Die Zeitdilatation - längst belegt von Kritikern geleugnet

Beitragvon Gluon » Di 14. Dez 2010, 10:33

Hannes hat geschrieben:Hallo Chief !
Ich betrachte das Ganze ganz anders. Ich glaube, dass Myonen bei einer bestimmten (kin.) Energie zerfallen. Wenn sie also in "Materie" eindringen, verlieren sie langsam die Energie bis eine untere Schwelle (ich nenne sie Zerfallsschwelle) erreicht ist. Somit ist es ganz logisch dass energiereicheren Myonen länger leben.

Deine Stellungnahmen sind wirklichkeitsnah und akzeptabel.


...und falsch.
Gluon
 
Beiträge: 423
Registriert: Di 27. Apr 2010, 23:18

Re: Die Zeitdilatation - längst belegt von Kritikern geleugnet

Beitragvon Ernst » Di 14. Dez 2010, 17:19

Gluon hat geschrieben: ...und falsch.

Richtig ist hingegen, daß weder die atmosphärischen Myonen noch die Teilchen in Beschleunigern die SRT bestätigen.

Zuerst zu der Myonenstory.
Im Erdsystem entstehen die Myonen in ca. 10 km Höhe. Sie kommen im Erdsystem auf der Erdoberfläche mit v=99,94c an. Das entspricht einer mittleren Lebensdauer von 30μs. Im Ruhezustand beträgt die mittlere Lebensdauer 1μs. (alles gerundet). Folgerung, die Lebensdauer ist abhängig von der Geschwindigkeit.

Was machen die SRT Anhänger. Sie nehmen das v und errechnen (gerundet) ein γ von 30. Was ja wieder (gerundet) dem gemessenen Zeitquotienten 30/1 entpricht. SRT bestätigt.

Denkste. Sie hauen die Bezugssysteme durcheinander. Sie transformieren die Zeit, aber nicht die Länge. Nach SRT geht das nämlich anders: Im Erdsystem sieht man ein gerade entstandenes ruhendes Myon in 10 km Höhe. Hat dieses Myon aber ab seiner Entstehung gleich ein v=99,94c , dann ist dieses Myon wegen der LK im Erdsystem nicht nur arg zusammengedrückt, sondern seine Entstehungshöhe wird auf der Erde mit nur 10km/30 = 333m gesehen. Damit ergibt sich die mittlere Lebensdauer wieder zu t=s/v=0,333/300000= ca. 1µs. Die Lebensdauer des Myons ist unabhängig von seiner Geschwindigkeit. Nach richtiger SRT.

Tatsächlich ergibt die klassische Auswertung t=10km/300000km/s= ca. 30µs. Die geschwindigkeitsabhängige Lebensdauer liegt folglich in einer anderen klassischen Ursache begründet.

Gruß
Ernst
Zuletzt geändert von Ernst am Di 14. Dez 2010, 18:14, insgesamt 2-mal geändert.
Ernst
 
Beiträge: 11188
Registriert: Mi 31. Dez 2008, 18:58

Re: Die Zeitdilatation - längst belegt von Kritikern geleugnet

Beitragvon fb557ec2107eb1d6 » Di 14. Dez 2010, 19:29

Ernst hat geschrieben:Denkste. Sie hauen die Bezugssysteme durcheinander. Sie transformieren die Zeit, aber nicht die Länge. Nach SRT geht das nämlich anders: Im Erdsystem sieht man ein gerade entstandenes ruhendes Myon in 10 km Höhe. Hat dieses Myon aber ab seiner Entstehung gleich ein v=99,94c , dann ist dieses Myon wegen der LK im Erdsystem nicht nur arg zusammengedrückt, sondern seine Entstehungshöhe wird auf der Erde mit nur 10km/30 = 333m gesehen. Damit ergibt sich die mittlere Lebensdauer wieder zu t=s/v=0,333/300000= ca. 1µs. Die Lebensdauer des Myons ist unabhängig von seiner Geschwindigkeit. Nach richtiger SRT.

Tatsächlich ergibt die klassische Auswertung t=10km/300000km/s= ca. 30µs. Die geschwindigkeitsabhängige Lebensdauer liegt folglich in einer anderen klassischen Ursache begründet.

Gruß
Ernst


Nein, du bringst die Bezugssysteme durcheinander.

Im Bezugssystem der Erde entsteht das Myon in 10km Höhe und lebt etwa 30µsec. Damit schafft es das Myon mit nahezu Lichtgeschwindigkeit bis zum Erdboden.

Im Bezugssystem des Myons ist die Distanz bis zum Erdboden 333 Meter und es lebt 1µsec (Eigenzeit). Mit fast Lichtgeschwindigkeit schafft es in dieser Zeit der Erdboden bis zum Myon, kein Problem.
fb557ec2107eb1d6
 
Beiträge: 1662
Registriert: Mi 1. Jul 2009, 16:19

Re: Die Zeitdilatation - längst belegt von Kritikern geleugnet

Beitragvon contravariant » Di 14. Dez 2010, 20:23

Highway hat geschrieben:Bitte sehr, gerne geschehen, denn du scheinst die Konsequenz daraus nicht zu verstehen und deshalb kann man es für dich nicht oft genug wiederholen.

*G*

Highway hat geschrieben:Die Menge der Myonen A_0 und t/Tau bestimmt nicht nur die Menge der Zerfälle die man in in einem Zeitintervall messen kann, sondern auch, in welchem Abstand von der mittleren Zerfallszeit man noch welche nachweisen kann.

Genaugenommen bestimmten A_0 und Tau die Wahrscheinlichkeit in einem Zeitintervall eine bestimmte Mengezerfälle zu messen. Aber ok, so grob richtig.

Highway hat geschrieben:Und da nicht sicher ist, wie die Ausgangsmenge ist, oder ist das sichergestellt, kann man auch nichts darüber aussagen ob die Myonen den Erdboden erreichen.

Da Muonen in dem Detektor, der ja auf der Erde steht, ankommen, bin ich sicher, dass welche auf den Erdboden erreichen.

Highway hat geschrieben:Bild

legt nahe, dass es sich um eine Funktion handelt, bei der sich der Funktionswert mit zunehmender Zeit asymptotisch der X-Achse nähert. Ein größerer Ausgangswert auf der Y-Achse (A_0) bedeutet somit eine vertikale Verschiebung des Graphen nach oben. Somit wird mehr Zeit benötigt um die X-Achse zu erreichen. Das bedeutet aber länger Lebendauer der Myonen.

1) Die Lebensdauer der Muonen ist nicht die Nullstelle dieser Funktion. Die Funktion hat auch keine Nullstelle.
2) Größeres A_0 verschiebt den Graphen auch nicht nach oben. Größeres A_0 bedeutet größerer Ausgangswert, aber auch steilerer Abfall. Das macht sowohl mathematisch (die Steigung der Funktion ist ja proportinonal zu A_0) alsauch anschaulich (mehr Teilchen, also auch mehr Zerfälle, also eine stärkere Änderung der Teilchenzahl) Sinn.

Highway hat geschrieben:Mit anderen Worten: Je höher die Ausgangsmenge, desto länger die Lebensdauer der Myonen. Gelle!

Nein.

Highway hat geschrieben:So und jetzt mal belegbare Zahlen auf den Tisch, du möchtest doch nicht als Komiker da stehen - oder?

Ich kann dir die Messung schlecht vorführen, deshalb machen wir jetzt ein Computerexperiment.
Code: Alles auswählen
#include <stdio.h>
#include <stdlib.h>

#include "mtwist.h"

double const tau = 100.0;
double const p = 1.0/100.0; // p = 1/tau
double const width = 10.0;
int const tmax = 100000;
mt_state mtstate;

double *decay( int n);
int *bin( int n, double *decays);

int main( int argc, char **argv)
{
    int i, n, len;
    double *decays;
    int *hist;

    n = atoi( argv[ 1]);
    len = (int) ( tmax/width) + 1;
    mts_seed( &mtstate);
    decays = decay( n);
    hist = bin( n, decays);

    for ( i=0; i<len; i++)
    {
        printf( "%f\t%i\n", i*width, hist[ i]);
    }

    free( hist);
    free( decays);
    exit( EXIT_SUCCESS);
}

double *decay( int n)
{
    int i, t;
    double tmp;
    double *decays = calloc( n, sizeof( double));

    for ( i=0; i<n; i++)
    {
        decays[ i] = tmax;
    }

    for ( i=0; i<n; i++)
    {
        for ( t=0; t<tmax; t++)
        {
            if ( mts_ldrand( &mtstate) <= p)
            {
                decays[ i] = t;
                break;
            }
        }
    }

    return decays;
}

int *bin( int n, double *decays)
{
    int i;
    int len = (int) ( tmax/width) + 1;
    int *hist = calloc( len, sizeof( int));

    for ( i=0; i<n; i++)
    {
       hist[ (int) ( decays[ i]/width)]++;
    }

    return hist;
}

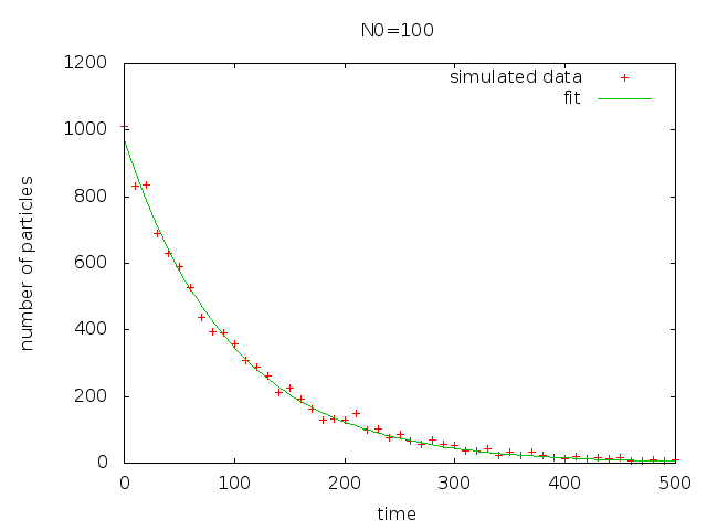
Das ist ein C Programm um den Zerfall von Teilchen zu simulieren. Um es laufen zu lassen braucht man noch diese Mersenne Twister Implementation. Das Programm basiert auch derselben Annahmen, wie die Formel A(t)=A0*exp(-t/tau), nämlich, dass die Zerfallswahrscheinlichkeit eines Teilchens konstant ist (wird hier p genannt). Die gesamt Zahl der Zerfälle wird im Code n genannt und wird als Parameter übergeben.
Das ganze ist nicht in "echten" Einheiten implementiert, wen das stört, der Code darf gerne verwendet werden. Das ändert aber am Verlauf der Kurven nix.
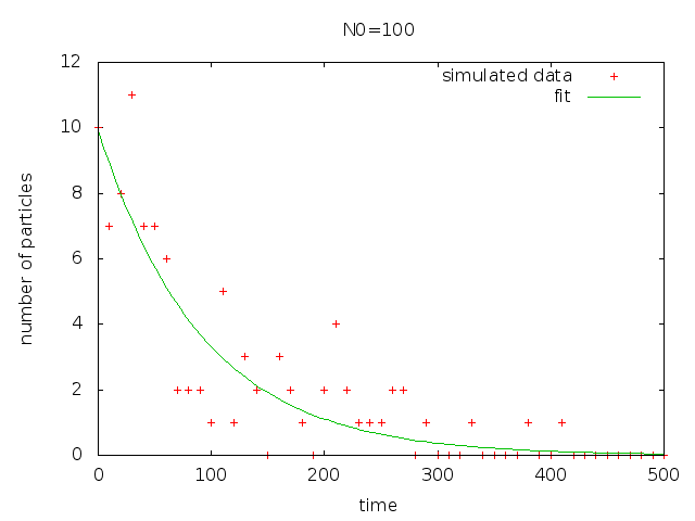
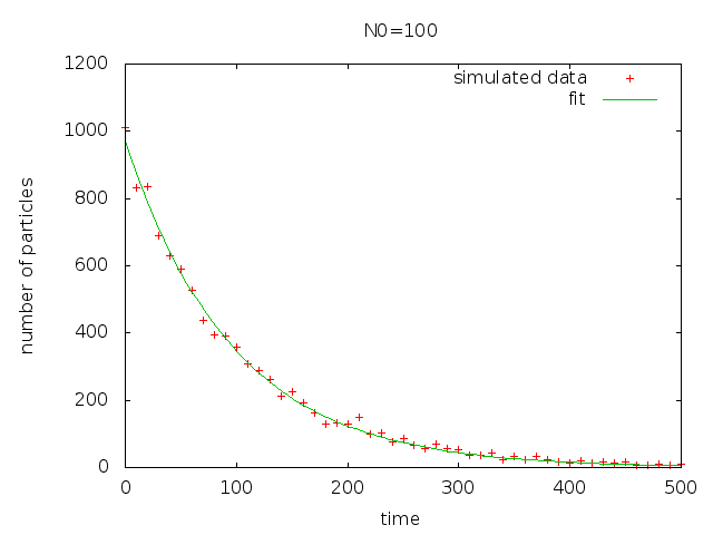
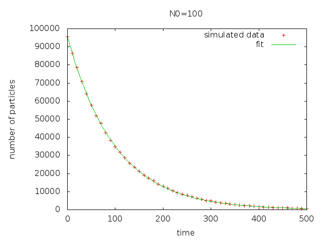
Ich hab das Programm ein paar Mal laufen lassen und jeweils A(t)=A0*exp(-t/tau) gegen die Daten gefittet um tau zu bestimmen.

n100.png
n100.png (4.75 KiB) 7673-mal betrachtet

Final set of parameters Asymptotic Standard Error
======================= ==========================

n0 = 9.9199 +/- 0.7327 (7.386%)
tau = 91.0597 +/- 10.05 (11.03%)


n10000.png
n10000.png (5.47 KiB) 7631-mal betrachtet

Final set of parameters Asymptotic Standard Error
======================= ==========================

n0 = 972.014 +/- 9.34 (0.9609%)
tau = 96.896 +/- 1.387 (1.431%)


n1000000.png
n1000000.png (5.47 KiB) 7640-mal betrachtet

Final set of parameters Asymptotic Standard Error
======================= ==========================

n0 = 95612.4 +/- 82.64 (0.08643%)
tau = 99.4917 +/- 0.128 (0.1286%)


Man sieht, dass tau gleich bleibt (innerhalb der Schwankungsbreite). Der Fehler nimmer aber mit der Anzahl von gemessen Zerfällen ab.

EDIT: Mir fällt grade auf, dass die Titel der Plots nicht richtig sind. Die sollten N=100, N=10000, N=1000000 heißen, also 100, 10000 und 1000000 Zerfälle...
contravariant
 
Beiträge: 3029
Registriert: Sa 14. Feb 2009, 20:16

Re: Die Zeitdilatation - längst belegt von Kritikern geleugnet

Beitragvon Ernst » Di 14. Dez 2010, 20:45

fb557ec2107eb1d6 hat geschrieben: Nein, du bringst die Bezugssysteme durcheinander.
Im Bezugssystem der Erde entsteht das Myon in 10km Höhe und lebt etwa 30µsec. Damit schafft es das Myon mit nahezu Lichtgeschwindigkeit bis zum Erdboden.
Im Bezugssystem des Myons ist die Distanz bis zum Erdboden 333 Meter und es lebt 1µsec (Eigenzeit). Mit fast Lichtgeschwindigkeit schafft es in dieser Zeit der Erdboden bis zum Myon, kein Problem.

Das ist alles falsch.
Die Eigenlänge im bewegten System (Myon-System) erscheint im festen System (Erde) verkürzt. So sieht man also im Erdsystem die kontrahierte Länge zu 0,333km.
Da Du das so schlecht verstehst, ein bildlicher Zusatz. An das bewegte Myon ist ein Stab festgemacht, der bis zur Erde reicht. Du wirst doch einsehen, daß dieser Stab kontrahiert gesehen wird.

Im Bezugssystem der Erde entsteht das Myon in 10km Höhe
Im Bezugssystem des Myons ist die Distanz bis zum Erdboden 333 Meter

Diese Annahme ist natürlich ohnehin physikalisch ganz unsinnig: aus Sicht des Myons sei die Entfernung 333m und aus Sicht der Erde 10km.
Das widerspricht von vornherein dem Relativitätsprinzip.

Also relativistisch richtig ala SRT sehen beide 333m.
Richtig klassisch sehen beide 10km.

Gruß
Ernst
Ernst
 
Beiträge: 11188
Registriert: Mi 31. Dez 2008, 18:58

Re: Die Zeitdilatation - längst belegt von Kritikern geleugnet

Beitragvon Britta » Di 14. Dez 2010, 21:19

Highway hat geschrieben:
Nein du Schlauberger, aber es belegt das die Myonen individuell durchaus längere Lebensdauern als die gemessene mittlere Lebensdauer von 2,2µs haben können. Insofern relativiert sich die Angabe, dass Myonen die Erde nicht erreichen können weil diese nach spätestens 800m ihr Leben ausgehaucht haben müssten.

Und man muss wahrscheinlich nicht explizit betonen, das der Experimentator nicht den blassesten Schimmer davon hat (in der freien Natur), wie viele Myonen eigentlich im Spiel sind - oder?

Aus 800m werden also schon mal 2,5 km. Das reicht uns als Relativisten immer noch nicht damit die Myonen den Erdboden erreichen können, das gebe zumindest ich zu, ich bezweifele aber nach wie vor, dass die getroffenen Annahmen bei Übertragung des Experimentes in die Natur so richtig sein können.

Um eben genau den Kritikern wie dir da zu helfen, habe ich ein Experiment als Beispiel genommen, dass in einem Beschleuniger durchgeführt wurde und mich nicht auf die Myonen bezogen, welche in der Atmosphäre entstehen.


Highway hat geschrieben:
Occams Rasor! Zu viele Annahmen ohne eindeutige Beweise. Eine einfache Annahme erklärt alles: Die Myonen fliegen schneller als das Licht. Keine Klimmzüge, keine weiteren Annahmen, nichts dergleichen! Lehn dich zurück, trink einen warmen Tee und denk noch mal in aller Ruhe darüber nach.

Die Annahme ist Unfug, denn man müsste die Myonen dann auch im Labor schneller als Licht bekommen.


Highway hat geschrieben:
Je höher die Ausgangsmenge, desto länger die Lebensdauer der Myonen. Gelle!

Genau, kannst dass mal im Altenheim untersuchen, wenn du dann so 100 untersucht hast, ist die durchschnittliche Lebensdauer der Menschen sicher bei 150 Jahren.


Highway hat geschrieben:
So und jetzt mal belegbare Zahlen auf den Tisch, du möchtest doch nicht als Komiker da stehen.

Da brauchst du dir keine Sorgen zu machen, den macht dir keiner streitig.

Bild


Was dem Kritiker an Wissen fehlt, gleicht er spielend mit Arroganz aus.



Chief hat geschrieben:
Also bei k-K<0, was für West- wahrscheinlich auch für Osteuropa erfüllt ist, wird die Bevölkerung aussterben.

Unglaublich Chief, du hast wirklich erkannt, das die Bevölkerung ausstirbt, wenn weniger Menschen geboren werden, als in derselben Zeit sterben? Toll, echt… :mrgreen:
Britta
 
Beiträge: 1094
Registriert: Do 12. Feb 2009, 17:16

Re: Die Zeitdilatation - längst belegt von Kritikern geleugnet

Beitragvon contravariant » Di 14. Dez 2010, 21:22

Highway hat geschrieben:Ab ca. 1 Mio Myonen ist, nach der angegebenen mathematischen Beziehung, mit 1 Myon zu rechnen was eine Lebensdauer > 30 µs aufweist.

Du solltest mit dem Begriff Lebensdauer in diesem Kontext vorsichtig sein. Lebensdauer, wie der Begriff in der Physik verwendet wird, ist ein Mittelwert. Einen Mittelwert aus einem einzigen Wert zu bilden ist sinnlos. Weiterhin habe ich an keiner Stelle bestritten, dass es Muonen gibt, die erst nach 30µs zerfallen. Das hat ändert aber die Lebensdauer nicht, wie du an deinen Kurven sehen kannst. Wenn du noch eine nennenswerte Wahrscheinlichkeit haben willst, dass ein Muon nach 30µs zerfällt, dann hast du aber auch immer eine riesige Wahrscheinlichkeit, dass viel mehr Muonen viel früher zerfallen. Damit fällt das eine Muon nach 30µs dann aber nicht mehr stark ins Gewicht.
contravariant
 
Beiträge: 3029
Registriert: Sa 14. Feb 2009, 20:16

Re: Die Zeitdilatation - längst belegt von Kritikern geleugnet

Beitragvon contravariant » Di 14. Dez 2010, 21:36

Chief hat geschrieben:Wenn aber die Mainstream-Theorie richtig sein sollte, gäbe es auf der Erde seit mehreren Milliarden Jahren keine natürliche radioaktive Elemente mehr. :mrgreen:

Klar, weil ja auch alle, also ALLE!!!1111elfzwölf, radioaktiven Elemente eine Lebensdauer von 2,2µs haben..
contravariant
 
Beiträge: 3029
Registriert: Sa 14. Feb 2009, 20:16

Re: Die Zeitdilatation - längst belegt von Kritikern geleugnet

Beitragvon contravariant » Di 14. Dez 2010, 21:44

Highway hat geschrieben:Jetzt habe ich aufgezeigt, wie man an Myonen die mit fast LG unterwegs sind am Erdboden kommt und jetzt sagst du: "Ich hab doch niemals betritten...". Ehrlich gesagt finde ich die Argumentation - etwas gewöhnungsbedürftig. :?

Wenn man eine Lebensdauer von 30µs misst, dann werden deutlich mehr Muonen als jedes Millionste länger als 30µs "leben".

Highway hat geschrieben: Mit vieviel Myonen muss man in so einem Freiluftexperiment rechneny

Du willst wissen, wieviele Muonen so auf der Erde ankommen oder wie? - Keine Ahnung. Man müsste halt Muonenzerfälle in verschiedenen Höhen untersuchen und die Zahlen miteinander vergleichen um Aussagen treffen zu können. Gibt solche Experimente garantiert, aber da Literatur hier ja abgelehnt wird ohne sie gelesen zu haben, mache ich mir sicherlich nicht die Mühe, wieder welche zu suchen.
contravariant
 
Beiträge: 3029
Registriert: Sa 14. Feb 2009, 20:16

Re: Die Zeitdilatation - längst belegt von Kritikern geleugnet

Beitragvon contravariant » Di 14. Dez 2010, 21:44

Chief hat geschrieben:Sag mal, wie alt ist die Erde?

Sagmal, was ist die Halbwertszeit von Uran?
contravariant
 
Beiträge: 3029
Registriert: Sa 14. Feb 2009, 20:16

VorherigeNächste

Zurück zu Relativitätstheorie

Wer ist online?

Mitglieder in diesem Forum: 0 Mitglieder und 10 Gäste