Nutzen und Schaden der Einsteinschen ART und SRT

Hier wird die Relativitätstheorie Einsteins kritisiert oder verteidigt

Re: Nutzen und Schaden der Einsteinschen ART und SRT

Beitragvon Skeptiker » Do 3. Apr 2025, 20:52

Kurt hat geschrieben:Wenn die wissenschaftlichen Erkenntnisse ok sind wieso maulst du dann an der U2 rum?
Die U2 zeigt kein anderes Verhalten als das was die wiss. Erkenntnisse auch gefunden haben.
.

Was wurde denn gefunden? Soweit mir bekannt ist tickt eine lokale Uhr immer exakt gleich schnell. Sonst wäre sie ja keine brauchbare Uhr.
Skeptiker
 
Beiträge: 3565
Registriert: Sa 8. Jun 2024, 11:01

Re: Nutzen und Schaden der Einsteinschen ART und SRT

Beitragvon Frau Holle » Fr 4. Apr 2025, 03:12

Kurt hat geschrieben:Wenn die wissenschaftlichen Erkenntnisse ok sind wieso maulst du dann an der U2 rum?

Weil sie dagegen verstößt.

Kurt hat geschrieben:Die U2 zeigt kein anderes Verhalten als das was die wiss. Erkenntnisse auch gefunden haben.

Sie verhält sich anders als das Relativitätsprinzip die Newtonsche Mechanik besagen, was unbestritten wissenschaftliche Erkenntnisse sind.

Du suchst dir gezielt wissenschaftliche Aussagen zusammen, die dir passen, ignorierst andere, dir dir nicht passen, und strickst dir nach Gutdünken eine besondere Uhr, widersprüchlich bis zum Abwinken. Das willst du uns als Realität verkaufen und deine Fantasieuhr soll etwas beweisen oder widerlegen. Lächerlich.

Mach was du willst, aber auf deinen stümperhaften RT-Widerlegungsversuch fällt niemand rein. Der Unsinn ist einfach zu offensichtlich. :mrgreen:
  
Frau Holle
 
Beiträge: 4387
Registriert: Sa 26. Nov 2022, 13:58

Re: Nutzen und Schaden der Einsteinschen ART und SRT

Beitragvon Kurt » Fr 4. Apr 2025, 08:06

Frau Holle hat geschrieben:
Kurt hat geschrieben:Wenn die wissenschaftlichen Erkenntnisse ok sind wieso maulst du dann an der U2 rum?

Weil sie dagegen verstößt.

Inwiefern verstösst sie dagegen?

Frau Holle hat geschrieben:
Kurt hat geschrieben:Die U2 zeigt kein anderes Verhalten als das was die wiss. Erkenntnisse auch gefunden haben.

Sie verhält sich anders als das Relativitätsprinzip die Newtonsche Mechanik besagen, was unbestritten wissenschaftliche Erkenntnisse sind.


Sie verhält sich so wie es im PDF beschrieben ist und wie es wissenschaftliche Aussagen und technische Anwendungen zeigen.

Frau Holle hat geschrieben:Du suchst dir gezielt wissenschaftliche Aussagen zusammen, die dir passen, ignorierst andere, dir dir nicht passen,


Ich suche mir nachgewiesene Aussagen aus wissenschaftlichen Erkenntnissen und technischen Anwendungen zusammen.
Welche ich dabei ignorieren soll das musst du schon zeigen.

Frau Holle hat geschrieben:und strickst dir nach Gutdünken eine besondere Uhr, widersprüchlich bis zum Abwinken. Das willst du uns als Realität verkaufen und deine Fantasieuhr soll etwas beweisen oder widerlegen. Lächerlich.

Die U2 ist eine Uhr die eine Anzeige hat damit diese am Ende jeder Fahrt abgelesen werden kann.
Lächerlich ist das was du aus lauter Verzweiflung versuchst als Wahrheit zu verkaufen.
Die U2 macht das was im PDF steht und damit ist deine geliebe Theorie widerlegt.

Frau Holle hat geschrieben:Mach was du willst, aber auf deinen stümperhaften RT-Widerlegungsversuch fällt niemand rein. Der Unsinn ist einfach zu offensichtlich. :mrgreen:
  


Ich habe das gemacht was ein ehrlicher Mitbürger auch machen würde, zumindest sollte.
Du zählst anscheinend nicht dazu.
Natürlich zeige ich was Sache ist, du kannst es ja nicht widerlegen.

Kurt

.
Kurt
 
Beiträge: 21774
Registriert: Sa 7. Nov 2009, 14:07
Wohnort: Bayern

Re: Nutzen und Schaden der Einsteinschen ART und SRT

Beitragvon Lagrange » Mo 21. Apr 2025, 14:53

Nochmal zum Integral

Bild

Wie hat Schwarzschild hier integriert? Das ist unmöglich.
Lagrange
 
Beiträge: 17794
Registriert: Mi 11. Feb 2009, 23:13

Re: Nutzen und Schaden der Einsteinschen ART und SRT

Beitragvon bumbumpeng » Mo 21. Apr 2025, 16:41

Lagrange hat geschrieben:Nochmal zum Integral

Bild

Wie hat Schwarzschild hier integriert? Das ist unmöglich.
Das kann ich mir gut vorstellen. Heißt das, dass da nachgeholfen wurde?
Soweit mir bekannt, hat doch der Eingesteinte die Rechenkünste vom Schwarzschild in seine kruden Theorien einfließen lassen. Stammt das original von Schwarzschild oder ist es das vom Eingesteinten hingebogene?
Ich sage:

Schwarzschildradius ist === SCHWACHSINNSRADIUS .

Diesen Schwachsinn kann es nicht geben und gibt es auch nicht. Dieser Vollpfosten will sozusagen die gesamte Masse der Sonne auf ca. 6 km Durchmesser zusammenpressen. Der Junge sagt aber nicht, wie das gehen soll.
Es geht niemals, weil immer außenrum VAKUUM ist.

Alle Himmelskörper haben den optimalen Durchmesse, den sie lt. Physik haben müssen.

Ein Schwarzes Loch ist doch nicht deswegen unsichtbar, weil es ein Schwarzschild und der Eingesteinte so wollen, sondern weil die SLs so schnell drehen.
bumbumpeng
 
Beiträge: 7431
Registriert: So 18. Okt 2020, 17:48

Re: Nutzen und Schaden der Einsteinschen ART und SRT

Beitragvon Lagrange » Mo 21. Apr 2025, 22:48

bumbumpeng hat geschrieben:
Lagrange hat geschrieben:Nochmal zum Integral

Bild

Wie hat Schwarzschild hier integriert? Das ist unmöglich.
Das kann ich mir gut vorstellen. Heißt das, dass da nachgeholfen wurde?
...

Natürlich. Rechte Seite ist gar nicht integrierbar.
Lagrange
 
Beiträge: 17794
Registriert: Mi 11. Feb 2009, 23:13

Re: Nutzen und Schaden der Einsteinschen ART und SRT

Beitragvon Frau Holle » Mi 23. Apr 2025, 09:30

Lagrange hat geschrieben:
Rechte Seite ist gar nicht integrierbar.

Wieso nicht? Erzähl doch mal. Und vergiss nicht zu erklären, was die Variablen da überhaupt bedeuten.
 
Frau Holle
 
Beiträge: 4387
Registriert: Sa 26. Nov 2022, 13:58

Re: Nutzen und Schaden der Einsteinschen ART und SRT

Beitragvon Lagrange » Mi 23. Apr 2025, 11:35

Frau Holle hat geschrieben:
Lagrange hat geschrieben:
Rechte Seite ist gar nicht integrierbar.

Wieso nicht? Erzähl doch mal. Und vergiss nicht zu erklären, was die Variablen da überhaupt bedeuten.
 

f1 und f4 sind unbekannte Funktionen von x1.

Mach die Ableitung von nach x1. Die Ableitung muss die rechte Seite von c' ergeben.

Bild
Lagrange
 
Beiträge: 17794
Registriert: Mi 11. Feb 2009, 23:13

Re: Nutzen und Schaden der Einsteinschen ART und SRT

Beitragvon Lagrange » Mi 23. Apr 2025, 16:12

Die Ableitung ist
ableitung.png
ableitung.png (2.51 KiB) 1212-mal betrachtet


Das unterscheidet sich offensichtlich von der rechten Seite von c'.
Lagrange
 
Beiträge: 17794
Registriert: Mi 11. Feb 2009, 23:13

Re: Nutzen und Schaden der Einsteinschen ART und SRT

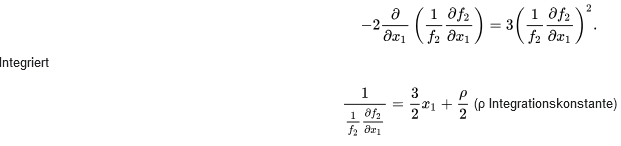
Beitragvon Lagrange » Mi 23. Apr 2025, 18:08

Auch dieses Integral von Schwarzschild ist falsch.

Bild

Auf der rechten Seite fehlt das Minuszeichen
Lagrange
 
Beiträge: 17794
Registriert: Mi 11. Feb 2009, 23:13

VorherigeNächste

Zurück zu Relativitätstheorie

Wer ist online?

Mitglieder in diesem Forum: 0 Mitglieder und 12 Gäste