Jan hat geschrieben:Ist das Flyby-Rätsel denn jetzt gelöst?
Nach Lothar Pernes wäre die RT damit widerlegt. Oder sehe ich das falsch?
Das hier vorliegende Thema befaßt sich mit der Lösung des Flyby-Rätsels, damit aber auch zwangsläufig mit den schwachsinnigen Grundlagen der Relativitätstheorien. Wie ersichtlich, sind meine Beiträge hierzu in einem Stimmengewirr wie in einer Kneipe nur mehr schwer aufzufinden, zu überblicken und zu verstehen.
Ich darf deshalb hier einmal den derzeitigen Stand der Entwicklung zu diesem Thema übersichtlich zusammenfassen wie folgt:
Nachdem findige Köpfe bei NASA, ESA, DLR und Flyby-Collaboration über mehrere Jahre nicht imstande waren, das Rätsel der Flyby-Anomalie zu lösen, ist mir das vor zwei Jahren gelungen, und ich habe die Lösung hier im Mahag-Forum und auf meiner Homepage vorgestellt.
Die vorgestellte Lösung des Flyby-Rätsels widerlegt die Relativitätstheorien, da sie beweist, daß sich die Lichtgeschwindigkeit nach einer plausiblen Kombination von Emissionstheorie und Äthertheorie ergibt, und nicht nach der schwachsinnigen relativistischen Invarianz c±v=c.
Deshalb setzen die Relativisten alles daran, um die Flyby-Anomalie und deren Lösung wieder in der Versenkung verschwinden zu lassen.
Hier z.B. versuchen ihre Sockenpuppen, insbesondere die sich als RT-Kritiker ausgebende Sockenpuppe Ernst, die hier vorgestellte Lösung des Flyby-Rätsels als „unsäglichen Unsinn“ abzuwerten und das Thema mit ihrem relativistischen Müll und sonstigem Mist zuzuschütten.
Nach meinen inzwischen bei der Herleitung der Lösungsformel gewonnenen Erkenntnissen kann ich hier feststellen und versichern, daß das Flyby-Rätsel gelöst ist. Derzeit wird auch die Herleitung der Lösungsformel hier im Mahag-Forum und auf meiner Homepage veröffentlicht.
Die Lösungsformel ist
„RG“ = v*vm/cosβ/c *sinβ * sinγwobei gilt
vm ist die Rotationsgeschwindigkeit des von der Erde mitgeführten „Äther“-Mediums am Ort der Sonde im Perigee, und es gilt die Formel
vm=vm(eo) * 0,5*(1-tanh((0,001+0,005*cosβ)*(H-2510+510*cosβ)))vm(eo) ist die Mediums-Rotationsgeschwindigkeit auf der Erdoberfläche senkrecht unterhalb des Perigees.
H ist die Höhe des Perigee-Ortes über der Erdoberfläche.
β = arctan[(tg δi – tg δo)/(2*sin((αi – αo)/2))]
γ = - arctan[(tg δi + tg δo)/(2*cos((αi – αo)/2))]
β ist der Winkel zwischen der Äquatorebene und der Hyperbel-Umlaufbahn-Ebene, gemessen in der senkrecht zur Äquatorebene stehenden und durch die beiden Rektaszensionspunkte gehenden Ebene.
γ ist der Winkel zwischen der Äquatorebene und der Hyperbel-Umlaufbahn-Ebene, gemessen in der senkrecht zur Äquatorebene stehenden und durch die Mitte zwischen den beiden Rektaszensionspunkten und durch den Erdmittelpunkt gehenden Ebene.
αi die Rektaszension der hereinkommenden, incoming (i) Asymptote,
αo die Rektaszension der hinauslaufenden, outgoing (o) Asymptote,
δi die Deklination der hereinkommenden, incoming (i) Asymptote,
δo die Deklination der hinauslaufenden, outgoing (o) Asymptote.
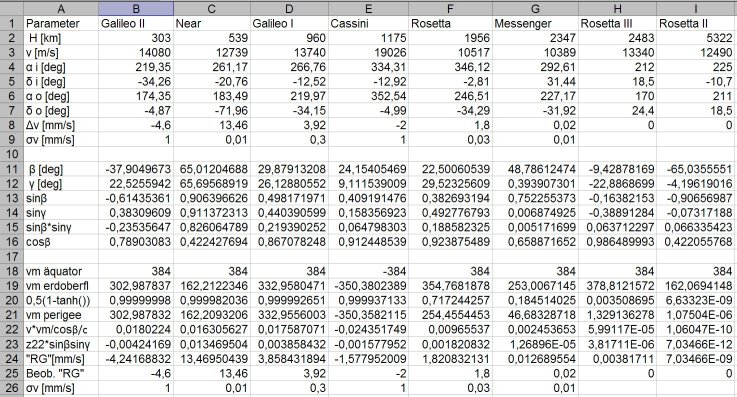
Hierzu siehe nachfolgende Excel-Tabelle, in der alle für die Formel erforderlichen Parameter aufgelistet sind, und aus der ersichtlich ist, daß die Ergebnisse der Formel mit den beobachteten Ergebnissen übereinstimmen.

- NeueExcel01a.jpg (112.47 KiB) 6176-mal betrachtet
Aus den Ergebnissen der Berechnung folgt, daß die Rotationsgeschwindigkeit vm des von der Erde mitgeführten „Äther“-Mediums an den Polen in etwa 5000 km Entfernung auf vm=0 abnimmt, und am Äquator in etwa 2500 km Entfernung. Der hierfür geltende Zusammenhang ist im folgenden Bild dargestellt:

- FlybyReduktionsfaktor01.jpg (48.85 KiB) 6256-mal betrachtet
Die Fertigstellung der Herleitung der Lösungsformel dauert noch etwas an, erfolgt aber in den nächsten Wochen.
Mit freundlichen Grüßen
Lothar Pernes