Die Lösung des Flyby-Rätsels beweist LG=c±v

Hier werden diverse Partikelmodelle diskutiert

Re: Die Lösung des Flyby-Rätsels beweist LG=c±v

Beitragvon Jan » Mo 14. Sep 2015, 09:19

Chief hat geschrieben:
Jan hat geschrieben:Ist das Flyby-Rätsel denn jetzt gelöst?

Nach Lothar Pernes wäre die RT damit widerlegt. Oder sehe ich das falsch?


Das siehst Du richtig.



Das sehen bestimmt nicht alle so.

Kann Yukterez die Widerlegung widerlegen?
Jan
 
Beiträge: 4766
Registriert: Do 27. Mär 2014, 21:55

Re: Die Lösung des Flyby-Rätsels beweist LG=c±v

Beitragvon Lothar Pernes » Mo 14. Sep 2015, 10:45

Jan hat geschrieben:Ist das Flyby-Rätsel denn jetzt gelöst?

Nach Lothar Pernes wäre die RT damit widerlegt. Oder sehe ich das falsch?


Das hier vorliegende Thema befaßt sich mit der Lösung des Flyby-Rätsels, damit aber auch zwangsläufig mit den schwachsinnigen Grundlagen der Relativitätstheorien. Wie ersichtlich, sind meine Beiträge hierzu in einem Stimmengewirr wie in einer Kneipe nur mehr schwer aufzufinden, zu überblicken und zu verstehen.
Ich darf deshalb hier einmal den derzeitigen Stand der Entwicklung zu diesem Thema übersichtlich zusammenfassen wie folgt:

Nachdem findige Köpfe bei NASA, ESA, DLR und Flyby-Collaboration über mehrere Jahre nicht imstande waren, das Rätsel der Flyby-Anomalie zu lösen, ist mir das vor zwei Jahren gelungen, und ich habe die Lösung hier im Mahag-Forum und auf meiner Homepage vorgestellt.

Die vorgestellte Lösung des Flyby-Rätsels widerlegt die Relativitätstheorien, da sie beweist, daß sich die Lichtgeschwindigkeit nach einer plausiblen Kombination von Emissionstheorie und Äthertheorie ergibt, und nicht nach der schwachsinnigen relativistischen Invarianz c±v=c.

Deshalb setzen die Relativisten alles daran, um die Flyby-Anomalie und deren Lösung wieder in der Versenkung verschwinden zu lassen.
Hier z.B. versuchen ihre Sockenpuppen, insbesondere die sich als RT-Kritiker ausgebende Sockenpuppe Ernst, die hier vorgestellte Lösung des Flyby-Rätsels als „unsäglichen Unsinn“ abzuwerten und das Thema mit ihrem relativistischen Müll und sonstigem Mist zuzuschütten.

Nach meinen inzwischen bei der Herleitung der Lösungsformel gewonnenen Erkenntnissen kann ich hier feststellen und versichern, daß das Flyby-Rätsel gelöst ist. Derzeit wird auch die Herleitung der Lösungsformel hier im Mahag-Forum und auf meiner Homepage veröffentlicht.

Die Lösungsformel ist

„RG“ = v*vm/cosβ/c *sinβ * sinγ

wobei gilt
vm ist die Rotationsgeschwindigkeit des von der Erde mitgeführten „Äther“-Mediums am Ort der Sonde im Perigee, und es gilt die Formel
vm=vm(eo) * 0,5*(1-tanh((0,001+0,005*cosβ)*(H-2510+510*cosβ)))
vm(eo) ist die Mediums-Rotationsgeschwindigkeit auf der Erdoberfläche senkrecht unterhalb des Perigees.
H ist die Höhe des Perigee-Ortes über der Erdoberfläche.

β = arctan[(tg δi – tg δo)/(2*sin((αi – αo)/2))]
γ = - arctan[(tg δi + tg δo)/(2*cos((αi – αo)/2))]


β ist der Winkel zwischen der Äquatorebene und der Hyperbel-Umlaufbahn-Ebene, gemessen in der senkrecht zur Äquatorebene stehenden und durch die beiden Rektaszensionspunkte gehenden Ebene.

γ ist der Winkel zwischen der Äquatorebene und der Hyperbel-Umlaufbahn-Ebene, gemessen in der senkrecht zur Äquatorebene stehenden und durch die Mitte zwischen den beiden Rektaszensionspunkten und durch den Erdmittelpunkt gehenden Ebene.

αi die Rektaszension der hereinkommenden, incoming (i) Asymptote,
αo die Rektaszension der hinauslaufenden, outgoing (o) Asymptote,
δi die Deklination der hereinkommenden, incoming (i) Asymptote,
δo die Deklination der hinauslaufenden, outgoing (o) Asymptote.

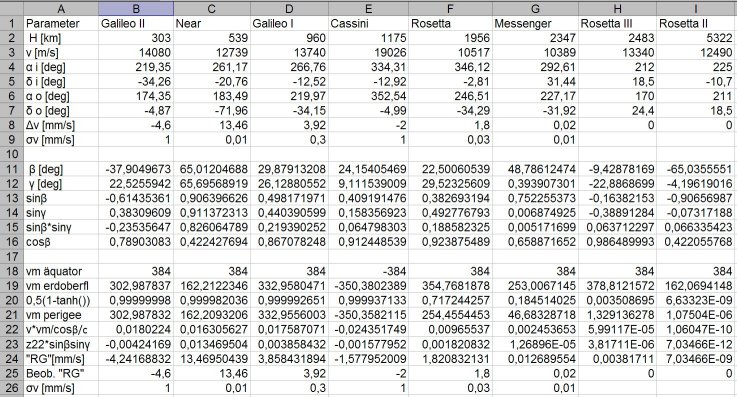
Hierzu siehe nachfolgende Excel-Tabelle, in der alle für die Formel erforderlichen Parameter aufgelistet sind, und aus der ersichtlich ist, daß die Ergebnisse der Formel mit den beobachteten Ergebnissen übereinstimmen.

NeueExcel01a.jpg
NeueExcel01a.jpg (112.47 KiB) 6176-mal betrachtet


Aus den Ergebnissen der Berechnung folgt, daß die Rotationsgeschwindigkeit vm des von der Erde mitgeführten „Äther“-Mediums an den Polen in etwa 5000 km Entfernung auf vm=0 abnimmt, und am Äquator in etwa 2500 km Entfernung. Der hierfür geltende Zusammenhang ist im folgenden Bild dargestellt:

FlybyReduktionsfaktor01.jpg
FlybyReduktionsfaktor01.jpg (48.85 KiB) 6256-mal betrachtet


Die Fertigstellung der Herleitung der Lösungsformel dauert noch etwas an, erfolgt aber in den nächsten Wochen.

Mit freundlichen Grüßen
Lothar Pernes
Zuletzt geändert von Lothar Pernes am Di 29. Sep 2015, 07:45, insgesamt 1-mal geändert.
Lothar Pernes
 
Beiträge: 258
Registriert: Do 18. Mär 2010, 10:19

Re: Die Lösung des Flyby-Rätsels beweist LG=c±v

Beitragvon Harald Maurer » Mo 14. Sep 2015, 10:53

fb557ec2107eb1d6 hat geschrieben:Welche Kraft wirkt im BS Scheibe auf den Würfel? Ist es die Zentrifugalkraft, die Zentripetalkraft, die Corioliskraft oder eine beliebige Kombination aus diesen, oder eine ganz andere Kraft?

Um die Rotation des Würfels aus der Sicht BS Scheibe zu erklären, muss sowohl eine Zentrifugalkraft als auch eine Corioliskraft eingeführt werden. Die radiale Kraft auf den Würfel ergibt sich aus der nach außen weisenden Zentrifugalkraft und der nach innen weisenden Corioliskraft, die etwa doppelt so stark ausfallen muss wie die Zentrifugalkraft, um das Verbleiben des Würfels auf der Scheibe zu begründen.
Ich bin nicht sicher, ob ich das richtig sehe - und für die Messbarkeit der nach innen resultierenden Kraft habe ich auch keine Vorstellung.
Und was sagen die Experten dieses Forums dazu?

Grüße
Harald Maurer
Harald Maurer
Administrator
 
Beiträge: 3218
Registriert: Di 30. Dez 2008, 13:05
Wohnort: Graz

Re: Die Lösung des Flyby-Rätsels beweist LG=c±v

Beitragvon fb557ec2107eb1d6 » Mo 14. Sep 2015, 11:01

:)

FlutschAG.jpg
FlutschAG.jpg (17.39 KiB) 6352-mal betrachtet
fb557ec2107eb1d6
 
Beiträge: 1662
Registriert: Mi 1. Jul 2009, 16:19

Re: Die Lösung des Flyby-Rätsels beweist LG=c±v

Beitragvon Lothar Pernes » Mo 14. Sep 2015, 11:50

Harald Maurer hat geschrieben:
fb557ec2107eb1d6 hat geschrieben:Welche Kraft wirkt im BS Scheibe auf den Würfel? Ist es die Zentrifugalkraft, die Zentripetalkraft, die Corioliskraft oder eine beliebige Kombination aus diesen, oder eine ganz andere Kraft?

Um die Rotation des Würfels aus der Sicht BS Scheibe zu erklären, muss sowohl eine Zentrifugalkraft als auch eine Corioliskraft eingeführt werden. Die radiale Kraft auf den Würfel ergibt sich aus der nach außen weisenden Zentrifugalkraft und der nach innen weisenden Corioliskraft, die etwa doppelt so stark ausfallen muss wie die Zentrifugalkraft, um das Verbleiben des Würfels auf der Scheibe zu begründen.
Ich bin nicht sicher, ob ich das richtig sehe - und für die Messbarkeit der nach innen resultierenden Kraft habe ich auch keine Vorstellung.
Und was sagen die Experten dieses Forums dazu?

Grüße
Harald Maurer


Also gut, ich sage mal folgendes dazu:
Lothar Pernes hat geschrieben:...Nachdem findige Köpfe bei NASA, ESA, DLR und Flyby-Collaboration über mehrere Jahre nicht imstande waren, das Rätsel der Flyby-Anomalie zu lösen, ist mir das vor zwei Jahren gelungen, und ich habe die Lösung hier im Mahag-Forum und auf meiner Homepage vorgestellt.

Die vorgestellte Lösung des Flyby-Rätsels widerlegt die Relativitätstheorien, da sie beweist, daß sich die Lichtgeschwindigkeit nach einer plausiblen Kombination von Emissionstheorie und Äthertheorie ergibt, und nicht nach der schwachsinnigen relativistischen Invarianz c±v=c.
Deshalb setzen die Relativisten alles daran, um die Flyby-Anomalie und deren Lösung wieder in der Versenkung verschwinden zu lassen.
Hier z.B. versuchen ihre Sockenpuppen, insbesondere die sich als RT-Kritiker ausgebende Sockenpuppe Ernst, die hier vorgestellte Lösung des Flyby-Rätsels als „unsäglichen Unsinn“ abzuwerten und das Thema mit ihrem relativistischen Müll und sonstigem Mist zuzuschütten.

Mit freundlichen Grüßen
Lothar Pernes
Lothar Pernes
 
Beiträge: 258
Registriert: Do 18. Mär 2010, 10:19

Re: Die Lösung des Flyby-Rätsels beweist LG=c±v

Beitragvon Harald Maurer » Mo 14. Sep 2015, 11:52

Bild
Aha, ich lag also richtig! Nur mit der direkten Messung habe ich ein Problem...
Chief hat geschrieben:beschleunigt wird die Scheibe und nicht der Würfel (ω_Würfel=0)

Ja, schon - aber im BS Scheibe saust ein Würfel rundherum. Vom Mittelpunkt der Scheibe aus gesehen könnte man daher annehmen, dass der Würfel beschleunigt ist. Aber man könnte auch mit einem Pendel feststellen, dass sich die Scheibe dreht... Aber dazu muss man schon ein wenig schlau sein. ;)

Grüße
Harald Maurer
Harald Maurer
Administrator
 
Beiträge: 3218
Registriert: Di 30. Dez 2008, 13:05
Wohnort: Graz

Re: Die Lösung des Flyby-Rätsels beweist LG=c±v

Beitragvon Ernst » Mo 14. Sep 2015, 12:24

fb557ec2107eb1d6 hat geschrieben::)
FlutschAG.jpg

Zum Aufatmen. :) Wenigstens einer hier, der die Mechanik beherrscht.

Die Darstellung entspricht einem Sonderfall der relativen Drehbewegung der Masse auf der Scheibe. Es ist nämlich hier die Umfangsgeschwindigkeit der Scheibe an der Massenposition entgegengesetzt gleich der relativen Geschwindigkeit der Masse auf der Scheibe. Also v = - ω x r.

Allgemein gilt (Darstellungsform in Wiki)

Bild

mit v = - ω x r

F = 2mω x ( ω x r ) - mω x ( ω x r ) = mω x ( ω x r )

Resultierende = Corioliskraft - Zentrifugalkrsft

Da die Scheibendrehzahl unbeschleunigt ist, ist die Eulerkraft Null.
.
.
Ernst
 
Beiträge: 11188
Registriert: Mi 31. Dez 2008, 18:58

Re: Die Lösung des Flyby-Rätsels beweist LG=c±v

Beitragvon Harald Maurer » Mo 14. Sep 2015, 12:31

Spacerat hat geschrieben:deswegen fliegen die Dinger auch auseinander, also vom Mittelpunkt weg und nicht darauf zu...

Falsch. Die "Dinger" fliegen nicht vom Mittelpunkt weg - also auch nicht dorthin, wohin die Zentrifugalkraft zeigt. Darüber solltest du nachdenken...

Grüße
Harald Maurer
Harald Maurer
Administrator
 
Beiträge: 3218
Registriert: Di 30. Dez 2008, 13:05
Wohnort: Graz

Re: Die Lösung des Flyby-Rätsels beweist LG=c±v

Beitragvon Ernst » Mo 14. Sep 2015, 12:44

Chief hat geschrieben:
Ernst hat geschrieben:
fb557ec2107eb1d6 hat geschrieben::)
FlutschAG.jpg

Zum Aufatmen. :) Wenigstens einer hier, der die Mechanik beherrscht.
...
mit v = - ω x r

F = 2mω x ( ω x r ) - mω x ( ω x r ) = mω x ( ω x r )

Resultierende = Corioliskraft - Zentrifugalkrsft

Da die Scheibendrehzahl unbeschleunigt ist, ist die Eulerkraft Null.
.
.


Und deswegen fliegt der Würfel in Richtung Drehzentrum! :mrgreen: :mrgreen: :mrgreen:


Ja, im BS der rotierenden Scheibe. In Überlagerung dieser Bewegung mit der Umfangsgeschwindigkeit des Würfels auf der Scheibe ergibt sich die Kreisbahn.

Wenn du dich in der Mechanik nicht so auskennst, ist das ok. Nicht ok ist deine Unflätigkeit.
.
.
Ernst
 
Beiträge: 11188
Registriert: Mi 31. Dez 2008, 18:58

Re: Die Lösung des Flyby-Rätsels beweist LG=c±v

Beitragvon Ernst » Mo 14. Sep 2015, 12:53

Spacerat hat geschrieben: Die Dinger fliegen auseinander, weil die Zentrifugalkräfte höher als die Zentripetalkräfte werden.

Die sind immer gleich groß.
Dann noch das Beispiel der Federwaage. Diese wird durch die Zentrifugalkraft auseinandergezogen. Wenn die Zentripetalkraft, die dort wirkt, bekannt ist und die Federwaage 0 anzeigt, sind beide Kräfte gleich.

Quatsch. Die Federwaage zeigt immer die Zentripetalkraft an. Null kann sie bei Rotation niemals anzeigen. :!: :!: :!:
.
.
Ernst
 
Beiträge: 11188
Registriert: Mi 31. Dez 2008, 18:58

VorherigeNächste

Zurück zu Emissionstheorien

Wer ist online?

Mitglieder in diesem Forum: 0 Mitglieder und 0 Gäste