Nutzen und Schaden der Einsteinschen ART und SRT

Hier wird die Relativitätstheorie Einsteins kritisiert oder verteidigt

Re: Nutzen und Schaden der Einsteinschen ART und SRT

Beitragvon sanchez » Mo 10. Mär 2025, 13:26

Lagrange hat geschrieben:
sanchez hat geschrieben:@Lagrange

Lagrange hat geschrieben:
Hieraus ergibt sich folgende eigentümliche Konsequenz.
Sind in den Punkten A und B von K ruhende, im ruhenden
System betrachtet, synchron gehende Uhren vorhanden, und
bewegt man die Uhr in A mit der Geschwindigkeit v auf der
Verbindungslinie nach B, so gehen nach Ankunft dieser Uhr
in B die beiden Uhren nicht mehr synchron, sondern die von A
nach B bewegte Uhr geht gegenüber der von Anfang an in B
befindlichen um 1/2 tv^2/V^2 Sek. (bis auf Größen vierter und
höherer Ordnung) nach, wenn t die Zeit ist, welche die Uhr
von A nach B braucht.


Und nun stell dir vor, dass Uhr B in dem Moment wo Uhr A an ihr vorbeifliegt,
aufschließt zur Uhr A und gemeinsam mit Uhr A mit identischer Geschwindigkeit weiterfliegt.
Na, was ist dann mit den Uhren?

Die Uhren ticken danach gleich schnell aber die Differenz bleibt erhalten.


Welche Differenz?
Wie kommt man auf die Differenz?
Später-Früher ???
sanchez
 
Beiträge: 2260
Registriert: Do 8. Nov 2018, 15:41

Re: Nutzen und Schaden der Einsteinschen ART und SRT

Beitragvon Kurt » Mo 10. Mär 2025, 15:20

sanchez hat geschrieben:Und nun stell dir vor, dass Uhr B in dem Moment wo Uhr A an ihr vorbeifliegt,
aufschließt zur Uhr A und gemeinsam mit Uhr A mit identischer Geschwindigkeit weiterfliegt.
Na, was ist dann mit den Uhren?

Lagrange hat geschrieben:Die Uhren ticken danach gleich schnell aber die Differenz bleibt erhalten.


sanchez hat geschrieben:Welche Differenz?
Wie kommt man auf die Differenz?
Später-Früher ???



Ausgangssituation:
Die Uhren befinden sich in einem ECI, alle ruhen zu diesen, alle ticken deswegen gleich und mit 100%
Die Uhren A und B sind räumlich getrennt.

Schritt1: A bewegt sich nun in Richtung B
Sie ist nun gegen das ECI bewegt und taktet daher nun langsamer als vorher und langsamer als die B.
Es bildet sich eine Diffferenz in den erzeugten Zeiteinheiten der beiden Uhren zueinander aus.
Je länger dieser Vorgang dauert desto grösser wird die Differenz.

Schritt2: A erreicht nun B
Die B bewegt sich nun so wie die A, also beide gleich.
Beide sind nun gegen das ECI bewegt und takten nun mit weniger als mit 100%.Beide gehen langsamer als sie es machten als sie zum ECI in Ruhe waren.

sanchez hat geschrieben:Welche Differenz?

Die Differenz an erzeugten Zeiteinheiten zwischen A und B
Entstanden sind diese wärend die A bewegt war und die B ruhte.

sanchez hat geschrieben:Wie kommt man auf die Differenz?

Die Differenz ergab sich wärend der Zeit in der die A bewegt war und die B nicht.
Diese Differenz lag vor als A die B traf.
Ab da bewegten sie sich gemeinsam, sie waren also beide bewegt.
Da sie beide bewegt waren tickten sie gemeinsam langsamer als in Ruhe.

sanchez hat geschrieben:Später-Früher ???


Die Differenz ergab sich als die B ruhte und die A bewegt war.
Nun, nachdem sie beide bewegt sind verändert sich die Differenz nicht mehr, sie bleibt einfach erhalten.

Kurt


.
Kurt
 
Beiträge: 21774
Registriert: Sa 7. Nov 2009, 14:07
Wohnort: Bayern

Re: Nutzen und Schaden der Einsteinschen ART und SRT

Beitragvon Skeptiker » Mo 10. Mär 2025, 16:40

Kurt hat geschrieben:Schritt1: A bewegt sich nun in Richtung B
Sie ist nun gegen das ECI bewegt und taktet daher nun langsamer als vorher und langsamer als die B.
Es bildet sich eine Diffferenz in den erzeugten Zeiteinheiten der beiden Uhren zueinander aus.
Je länger dieser Vorgang dauert desto grösser wird die Differenz.

Welche Differenz bildet sich da? Das muss man ja mal berechnen können. Mach mal!
Skeptiker
 
Beiträge: 3565
Registriert: Sa 8. Jun 2024, 11:01

Re: Nutzen und Schaden der Einsteinschen ART und SRT

Beitragvon Lagrange » Mo 10. Mär 2025, 16:58

Skeptiker hat geschrieben:
Kurt hat geschrieben:Schritt1: A bewegt sich nun in Richtung B
Sie ist nun gegen das ECI bewegt und taktet daher nun langsamer als vorher und langsamer als die B.
Es bildet sich eine Diffferenz in den erzeugten Zeiteinheiten der beiden Uhren zueinander aus.
Je länger dieser Vorgang dauert desto grösser wird die Differenz.

Welche Differenz bildet sich da? Das muss man ja mal berechnen können. Mach mal!

Nach SRT geht Uhr A langsamer als Uhr B und Uhr B langsamer als uhr A.
Lagrange
 
Beiträge: 17794
Registriert: Mi 11. Feb 2009, 23:13

Re: Nutzen und Schaden der Einsteinschen ART und SRT

Beitragvon Lagrange » Mo 10. Mär 2025, 17:22

Richtig gerechnet erhält man: und nicht was Schwarzschild behauptet, weil er Minuszeichen weggelassen hat.

https://de.wikisource.org/wiki/%C3%9Cbe ... en_Theorie
Dateianhänge
schw2.png
schw2.png (9.28 KiB) 966-mal betrachtet
Zuletzt geändert von Lagrange am Mo 10. Mär 2025, 18:05, insgesamt 1-mal geändert.
Lagrange
 
Beiträge: 17794
Registriert: Mi 11. Feb 2009, 23:13

Re: Nutzen und Schaden der Einsteinschen ART und SRT

Beitragvon Frau Holle » Mo 10. Mär 2025, 17:41

Lagrange hat geschrieben:
Nach SRT geht Uhr A langsamer als Uhr B und Uhr B langsamer als uhr A.

Nein, zum Geier!

Hör' doch mal auf ständig diese blödsinnige Behauptung zu wiederholen!
Dass das ein Widerspruch wäre ist offensichtlich, also ist deine Behauptung, dass es nach SRT so sein muss, falsch.

Weder Einstein noch sonst jemand ist blöd genug zu glauben, dass Uhr A langsamer als Uhr B und Uhr B langsamer als Uhr A geht.

Die saloppe Ausdrucksweise "geht langsamer" findet man zwar in so mancher Erklärung zur SRT, aber das ist auf keinen Fall wörtlich zu verstehen. Die idealen Uhren der SRT gehen alle 100% richtig, alle gleich in ihrem Ruhesystem.

Wie das zu richtig verstehen ist ergibt sich aus der Mathematik der SRT ganz eindeutig. So wie du es dauernd hinstellst jedenfalls nicht, egal wie oft du es noch wiederholst und ins Lächerliche ziehst. Das einzig Lächerliche ist deine falsche Auffassung von der SRT, die sich deutlich zeigt. Du kapierst sie offensichtlich nicht. Das ist aber kein Problem der SRT, sondern allein deins und das gewisser anderer Dumpfbacken im Forum.
 
Zuletzt geändert von Frau Holle am Mo 10. Mär 2025, 17:59, insgesamt 4-mal geändert.
Frau Holle
 
Beiträge: 4401
Registriert: Sa 26. Nov 2022, 13:58

Re: Nutzen und Schaden der Einsteinschen ART und SRT

Beitragvon Skeptiker » Mo 10. Mär 2025, 17:47

Lagrange hat geschrieben:Nach SRT geht Uhr A langsamer als Uhr B und Uhr B langsamer als uhr A.

Das sagt die SRT nicht. Ich sage ja du verstehst sie nicht.
Skeptiker
 
Beiträge: 3565
Registriert: Sa 8. Jun 2024, 11:01

Re: Nutzen und Schaden der Einsteinschen ART und SRT

Beitragvon Lagrange » Di 11. Mär 2025, 11:05

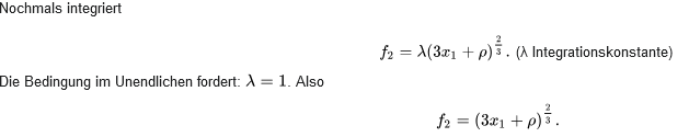
Lagrange hat geschrieben:Richtig gerechnet erhält man: und nicht was Schwarzschild behauptet, weil er Minuszeichen weggelassen hat.

https://de.wikisource.org/wiki/%C3%9Cbe ... en_Theorie

Bild

Somit ist bewiesen, dass Schwarzschild Einsteinsche Spekulationen nicht bestätigen konnte.
Lagrange
 
Beiträge: 17794
Registriert: Mi 11. Feb 2009, 23:13

Re: Nutzen und Schaden der Einsteinschen ART und SRT

Beitragvon Lagrange » Di 11. Mär 2025, 11:09

Skeptiker hat geschrieben:
Lagrange hat geschrieben:Nach SRT geht Uhr A langsamer als Uhr B und Uhr B langsamer als uhr A.

Das sagt die SRT nicht. ...

Doch, SRT ist symmetrisch.

Einstein hat geschrieben:Es ist klar, daß die gleichen Resultate von im "ruhenden"
System ruhenden Körpern gelten, welche von einem gleich-
förmig bewegten System aus betrachtet werden.
Lagrange
 
Beiträge: 17794
Registriert: Mi 11. Feb 2009, 23:13

Re: Nutzen und Schaden der Einsteinschen ART und SRT

Beitragvon Skeptiker » Di 11. Mär 2025, 11:50

Lagrange hat geschrieben:Doch, SRT ist symmetrisch.

Einstein hat geschrieben:Es ist klar, daß die gleichen Resultate von im "ruhenden"
System ruhenden Körpern gelten, welche von einem gleich-
förmig bewegten System aus betrachtet werden.

Das was du sagst ist nicht jenes was Einstein hier schreibt.
Skeptiker
 
Beiträge: 3565
Registriert: Sa 8. Jun 2024, 11:01

VorherigeNächste

Zurück zu Relativitätstheorie

Wer ist online?

Mitglieder in diesem Forum: 0 Mitglieder und 5 Gäste