Endgültige Widerlegung der SRT

Hier wird die Relativitätstheorie Einsteins kritisiert oder verteidigt

Re: Endgültige Widerlegung der SRT

Beitragvon Ernst » Mi 12. Jan 2011, 14:10

Chief hat geschrieben: Geht's Dir noch gut? :?
x=ct in x'²+y'²=c²t'² ergibt:
x²(1-v/c)²/(1-v²/c²)+y²=c²t²(1-v/c)²/(1-v²/c²).
Man erhält Trigemina's bzw. Ljudmil's Ellipsoid.

Danke bestens. aber Dir wohl nicht so. Ich habe gerade die vollständige Rechnung eingestellt.

x'²+y'²=c²t'² ergibt transformiert

x²+y²=c²t²

Da kannst Du nun Dein x=ct gleichgroß wie der Radius ct einsetzen und erhältst mit y=0 die beiden Nullstellen der Kreisgleichung.

Ja, ist einfach, man muß nur richtig damit umgehen.

Gruß
Ernst
Ernst
 
Beiträge: 11188
Registriert: Mi 31. Dez 2008, 18:58

Re: Endgültige Widerlegung der SRT

Beitragvon Ernst » Mi 12. Jan 2011, 14:31

Highway hat geschrieben: Nein das ist nicht mein Begehren. ;-)
Vorschrift nach SRT heißt: Von S über Trafo x'=(x-vt')/sqr(1-v²/c²) in S' nicht von S' über Trafo x'=(x-vt')/sqr(1-v²/c²) in S.

Das ist eine fehlerhafte Transformation. Richtig ist

x'=(x-vt)/sqr(1-v²/c²)

Gerade diese Transformation habe ich ja gerade verwendet. In S' ist eine Kugelsphäre. Die muß sich als Transformation aus S ergeben. Nun wird diese Transformation kontrolliert und da ergibt sich, daß sich tatsächlich in S ebenfalls eine Kugelsphäre befindet. Anders erhältst Du keine geschlossene Lösung.

Gruß
Ernst
Ernst
 
Beiträge: 11188
Registriert: Mi 31. Dez 2008, 18:58

Re: Endgültige Widerlegung der SRT

Beitragvon Ernst » Mi 12. Jan 2011, 16:53

Highway hat geschrieben: Hast du schon mal Werte in deine Form der Transformation eingesetzt? Würde ich mal versuchen an deiner Stelle. Vielleicht wird's dir dann klarer was ich meine.

Werte muß ich nicht einsetzen, ich sehe auf den ersten Blick, daß die Gleichungen Kugeln darstellen. Ich weiß schon, was Du willst. Du willst in x einen Punkt vorgeben und ausrechnen, wo der Punkt in S' als x' landet. Aber da ist doch auch klar, daß ein bei x' gelandeter Punkt dem vorgegebenen x entspricht. Ich kann als auch für x' genauso das verursachende x berechnen.
Nichtsdestotrotz kannst Du natürlich Punkte auf Deine Art berechnen. Du must dann nur bei Vorgabe x,t beachten, daß Du für S' dann x'(t') und t' berechnest.

(2) x²+y²=c²t²

x=0; y=ct; v= 0,86c; gamma=2

x'=(x-vt)*gamma= -0,86ct*2= -1,72*ct
t'=(t-xv/c²)*gamma=t*gamma; t=t'/2

x'=-1,72*c*t'/2=-0,86ct'
y'=c*t=c*t'/2=0,5ct'
also
x'²+y'²=0,86²c²t'²+0,5²c²t'²

(3) x'²+y'²= c²t'²

Müßte Deiner Vorliebe entsprechen. ;)

Gruß
Ernst
Zuletzt geändert von Ernst am Mi 12. Jan 2011, 20:09, insgesamt 1-mal geändert.
Ernst
 
Beiträge: 11188
Registriert: Mi 31. Dez 2008, 18:58

Re: Endgültige Widerlegung der SRT

Beitragvon scharo » Mi 12. Jan 2011, 17:57

Lieber Harald,

„In der transformierten Gleichung muss sich ebenfalls Null ergeben. Das kann aber nicht zutreffen, wenn nicht alle Quadrate derselben Transformation unterworfen werden. Wie man sofort sieht, wenn man die transformierten Werte einsetzt.“

Doch, doch, auch mit den transformierten Werte – schau die Excel-Tabele von Trigemina.

„Eine RdG ist nicht mehr zu berücksichtigen, denn sie ist in der LT schon enthalten. Auch sonst ist weder etwas zusätzlich zu berücksichtigen oder zu interpretieren. Die LT genügt.“

Absolut richtig!

„Fazit: Einstein kann auf diese Weise nicht beweisen, dass eine Kugelwelle aus beiden Systemen als Kugelwelle gesehen wird. Einfaches Ausrechnen zeigt es.“

Doch, doch – schau aber bei mir um welche Kugelwellen es sich handelt. Und das ist kein Wunder.

Liebe Grüße
Ljudmil
scharo
 
Beiträge: 688
Registriert: So 4. Jan 2009, 09:06
Wohnort: Niederbayern

Re: Endgültige Widerlegung der SRT

Beitragvon scharo » Mi 12. Jan 2011, 18:02

Lieber Ernst,

„Mann, Ljudmil, das ist eine Veranschaulichung des Inhaltes der LT. Die Formeln der LT beinhalten bereits den gesamten Mechanismus.“

Mann, Ernst, das ist die Grundlage der LT und SRT. Natürlich beinhalten die Formeln diesen Mechanismus. Ich muss aber die Seher bemühen, so dass auch solche wie Du verstehen, was diese LT-Formeln aussagen.

„bleiben bei der geschlossenen mathematischen Beschreibung des Sachverhaltes.“

Da blickst Du aber nicht durch – also was nützt das. Eure „Ergebnisse“ sind schlicht und einfach falsch und betreffen die Sache überhaupt nicht.

Ich merke, dass Du schon Deinen Irrweg entdeckt hast und deswegen antwortest Du auf keine konkreten Fragen.
Die Zeichnung steht:

Bild

Jetzt bist Du dran zu sagen, wo Deiner Meinung nach sich die Koordinaten x´, y´ und ct´ zu befinden haben. Zeichne endlich was! Und nicht nur bla-bla-bla.
Ich will von Dir eine Zeichnung sehen, wo klar die Koordinaten der behandelten Sache erkennbar sind – Punkt oder Kreis, wie Du möchtest - in beiden IS nach t sich befinden. Und dann will ich sehen, wie Du aus diesen Koordinaten die zwei Kreis-, bzw. Kugelgleichungen bestätigen kannst.
Bei mir stimmt alles und ist exakt nach Einstein.

„Man nimmt an, daß x,y,z,t transformierte Werte aus S' sind. Dann berechnet man die dazugehörenden Ausgangswerte in S'. Und erkennt, daß es sich bei der Kugel(2) tatsächlich um die transformierte Kugel aus S' handelt. Einfach, oder?“

Man oh man!

Mann, Ernst, hör doch auf Dich weiterhin zu blamieren! :cry:

Liebe Grüße
Ljudmil


@ Gluon,

„Echt nicht:
2²+3²+3²-2²=0
Wir transformieren nur den ersten und letzen Wert:
1²+3²+3²-1²=0
Geht offenbar doch!“
Stolze Rechenleistung!
scharo
 
Beiträge: 688
Registriert: So 4. Jan 2009, 09:06
Wohnort: Niederbayern

Re: Endgültige Widerlegung der SRT

Beitragvon Ernst » Mi 12. Jan 2011, 18:48

Lieber Ljudmil,
scharo hat geschrieben: Ich merke, dass Du schon Deinen Irrweg entdeckt hast

Schon wieder eine Sache, welche Du mißverstehst.

Mann, Ernst, hör doch auf Dich weiterhin zu blamieren!

Sagte der Nichtseher. In dieser Sache ist es allerdings ein "Alternativphysiker", der sich dadurch blamiert, daß er eine einfache Transformationsrechnung nicht verstehen kann. Er ist darin aber geübt.

Zeichne endlich was! Und nicht nur bla-bla-bla.

Mathematik ist das Gegenteil von blabla. Ich zeichne nicht zwei Kreise, wenn ich zwei Kreisgleichungen habe, weil ich voraussetze, daß andere eine Kreisgleichung als solche erkennen. Die detaillierte Darstellung der Situation hat zudem Faber vielfach ausführlich bebildert und animiert. Wenn Dir das nicht reicht, um den Transformationsmechanismus zu verstehen, ist Dir nicht zu helfen.

Bei mir stimmt alles und ist exakt nach Einstein.

Ach, nun brichst Du plötzlich ein. Deine Zeichnung zeigt nur, daß Du nunmehr prinzipiell auf unsere Darstellung eingeschwenkt bist. Das haben wir Dir die ganze Zeit eingepaukt; daß in S und S' eine Lichtsphäre kreisförmig bleibt. Nun malst Du selbst "unsere" Kreise x(t)²+y(t)²=c²t² und x'(t')²+y'(t')²=c²t'². Ich faß es nicht. Du konntest das ja zuvor wegen Ellipsoiden vor deinen Augen nicht erkennen. Das, was Du jetzt verkaufst, ist nichts anderes als das Eingeständnis, daß unsere Mathematik dazu sowie die Fabersche Animation zutreffend ist und den Einstein beweist. Da wurdest Du nun zum Trittbrettfahrer. Egal, besser spät verstehen als niemals.

Liebe Grüße
Ernst
Zuletzt geändert von Ernst am Mi 12. Jan 2011, 20:53, insgesamt 3-mal geändert.
Ernst
 
Beiträge: 11188
Registriert: Mi 31. Dez 2008, 18:58

Re: Endgültige Widerlegung der SRT

Beitragvon Ernst » Mi 12. Jan 2011, 18:55

Chief hat geschrieben: Das bedeutet, Du hast gar nichts gemacht! Du gehst von Berlin nach Berlin über Hamburg

Ich bin einmal von Berlin nach Hamburg gegangen und habe das hingeschrieben.
Ich bin ein andermal von Hamburg nach Berlin gegangen und habe das aufgeschrieben.
Zuletzt habe ich einen einzelnen Punkt von Hamburg nach Berlin getragen.
Du hast die ganze Zeit geschlafen.

Gruß
Ernst
Ernst
 
Beiträge: 11188
Registriert: Mi 31. Dez 2008, 18:58

Re: Endgültige Widerlegung der SRT

Beitragvon fb557ec2107eb1d6 » Mi 12. Jan 2011, 19:18

Chief hat geschrieben:
scharo hat geschrieben:...
Bei mir stimmt alles und ist exakt nach Einstein.
...


Du hast aber y'=y*gamma, nach Einstein gilt y'=y.

Gruß


Nein, Ernst hat nicht y'=y*gamma, sondern er hat wie wie Einstein y'=y.
fb557ec2107eb1d6
 
Beiträge: 1662
Registriert: Mi 1. Jul 2009, 16:19

Re: Endgültige Widerlegung der SRT

Beitragvon Gerhard Kemme » Mi 12. Jan 2011, 21:14

Ernst hat geschrieben:
Gerhard Kemme hat geschrieben: Die beste allgemeine Rechnung gerät unter Fehlerverdacht, wenn sie beim Einsetzen von Zahlen nicht mehr stimmt.

Grundsätzlich sind geschlossene Rechnungen aussagefähiger. Sie müssen natürlich numerisch prüfbar sein.
Ich habe mir Deine Rechnung nochmal angesehen. Du berechnest x'(t). Zu berechnen ist aber x'(t').


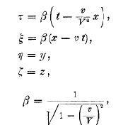
Bitte deinerseits diese Aussage nocheinmal zu überprüfen. Siehe S. 28:
http://home.vrweb.de/~si.pe/Zur%20Elektrodynamik%20bewegter%20Koerper.pdf
LTFormelnEinstein.png
LTFormelnEinstein.png (4.3 KiB) 5540-mal betrachtet


Wie nicht anders zu erwarten ergeben sich die transformierten Werte (mit Strich) aus den Werten (ungestrichen) des Ruhesystems.

Siehe auch auf einer anderen Website:
http://homepage.univie.ac.at/Franz.Embacher/SRT/Lorentztransformation.html

t'   =   g ( t - (v/c2) x )
x'   =   g ( x - v t )
y'   =    y
z'   =    z


Ernst hat geschrieben:Da hast Du das ja nun annähernd begriffen mit den abhängigen Variablen. Aber noch nicht ganz. Das sind beides Kreis- bzw. Kugelgleichungen. Wenn Du das noch immer nicht bei (3) erkennst, mußt Du weiter Funktionslehre büffeln.


Allerdings wird man keine Kreisfigur oder Kugel hinbekommen, wenn man unpassende Zahlenwerte für die Variablen einsetzt, d.h. man hat bei Einsetzungen vorher zu normieren. Setzt man in Gleichung (2) passende Werte ein und macht dann eine Abbildung (in diesem Falle per LT-Transformation) auf Gleichung (3), dann sind die Zahlenwerte nicht mehr normiert, so dass die Kreisgleichung für die eingesetzten Werte keine wahre Aussage mehr darstellt, d.h. die transformierten Punkte sind keine Kreisfigur mehr.
Gerhard Kemme
 
Beiträge: 1136
Registriert: Mi 31. Dez 2008, 19:19
Wohnort: Hamburg

Re: Endgültige Widerlegung der SRT

Beitragvon Gerhard Kemme » Mi 12. Jan 2011, 21:23

Ernst hat geschrieben:
Harald Maurer hat geschrieben:Ja, das muss auch so herauskommen bei der Schreibweise x'²+y'²+z'²-c'²t'²=x²+y²+z²-c²t²
Tut es aber nicht, wenn man für x'² und t'²die transformierten Werte einsetzt. Wie Herr Kemme ja am Beispiel Kreisgleichung gezeigt hat.

Ja, Herr Kemme ist hier nachgewiesenermaßen der Spezialist für Funktionenlehre. :o


Das merkst du erst jetzt. Denkst du unsereins hat das Abi mit "sehr gut" gemacht, weil der Lehrerin meinte, dass ich so hübsche Augen hätte? Und das Mathematik-Examen nach dem Lehrerstudium wurde geschenkt und die Gehälter als Lehrer wurden für Nichtstun überwiesen - du hast es mit der bundesdeutschen Mathe-Physik-Elite zu tun! :mrgreen:
Gerhard Kemme
 
Beiträge: 1136
Registriert: Mi 31. Dez 2008, 19:19
Wohnort: Hamburg

VorherigeNächste

Zurück zu Relativitätstheorie

Wer ist online?

Mitglieder in diesem Forum: 0 Mitglieder und 7 Gäste